Intro To Logarithms Rev1
Xg fleet
Xg fleet-



Expectation And Functions Of Random Variables Docsity



Asus Rog Flow X13 Con Rog Xg Mobile Rtx 3080 Review Analisis Completo En Espanol



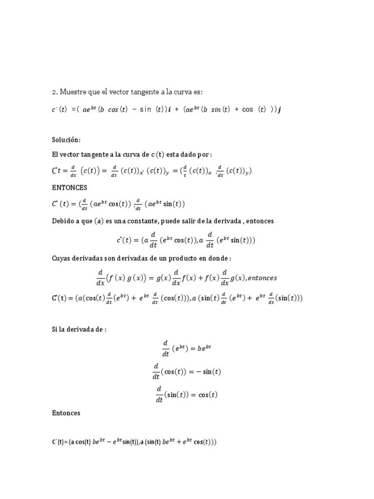
Ounto 2 Pdf



Fotodiox Lens Mount Adapter For Nikon G Type F Mount Nikg Fxrf



Answered Suppose That F Ae And G X Are Given By Bartleby



Expectation And Functions Of Random Variables Docsity



Answered Let F Ae And G X 3d Find The Bartleby



Aerospace Nonlinear Control Homework Project 8 Ae 6580 Docsity



Resolucion Facultad De Ciencias Exactas



Sapanako Desh



Caca Palavras Alice Marina E Artur Sopa De Letras



Transmission Electron Micrograph Photos Of 110 000 X G Ave Pellet After Download Scientific Diagram



2



Ae F X G 2 0 Ol 3 1 Oo 4 2 9 7 3 4 9 4 7 8 5 1 1 1 Chegg Com



Q1 Question 1 1 Point Iff G S R Are Integrable Chegg Com



2



Diego Rattaggi Another Random Calculus Puzzle Mathiratti



11tegen11 Passmaps Xgplot For Odense Against rhus Gf Passmap Xgplot Autotweet



Solved Consider The Function F X 5 X L N 2 X For The Domain On Which F Is Defined Determine The Largest Open Interval On Which F Is In Course Hero



Afnaflnsfx A Lrsf Jfsf Osf Dxj 1 Lsg



Solved F X 2 X 3 6 X 2 4 X G X X 2 3 X 2 The Polynomials F X And G X Are Defined Above Which Of The Followin



Ex Rewrite Exponential Functions Y Ab T To Y Ae Kt Youtube



Part A 1 1 Ax Ax Ax 2 G X E F X G X E Ln E A F X Ppt Download



Canon Minolta Nikon Ae 1 Xg 1 Em E Fd90x Catawiki



Answered It Is Given That F 1 2 G 1 4 Bartleby



2



P Ae Dump De Dibujos By Sparkle Lighto On Deviantart



Israel 24 Ad Roman Judean Tiberius Ancient Ae Pruta Coin Year 11 24 25 Ad G Gf Hen 1340 Tiberius Used Ma Shops



Introduction To Autoencoders Definition Autoencoder Is An By yush Jain Analytics Vidhya Medium



Como Ingresar Una Formula Matematica En La Cuenta Publica Recomendar Varios Artefactos Programador Clic



The Jacuzzi Area X Picture Of Gf Isabel Tenerife Tripadvisor



Given That F X G X For All Real X And F 0 G 0 Then F X G X For All X Belongs To



Relaciones Periodicas Entre Los Elementos Ppt Descargar



Notes On Topics Of Algebra Notes



Tres Afiches Rompecabezas De Crucigrama Con Palabras Relacionadas Con El Cafe Foto De Archivo Ilustracion De Desayuno Cepillo



Propiedades De La Derivada Analisis Matematico Matematica Espoch Studocu



Derivadas Mapa Mental



If F And G Are Continuous Then Fg Is Continuous Proof



Functia De Gradul Al 2 Lea



2



G Iv X Fotos E Imagenes De Stock Alamy



Asus Rog Flow X13 Con Rog Xg Mobile Rtx 3080 Review Analisis Completo En Espanol



K F Concept Nik G Fx Nikon G F Ai Ais D Lenses To Fuji X Camera Mount Adapter Lee Photo Lazada Ph



Q Consider The Measure Space R Mr Mu Let Fx Lef Gauthmath



Introduction To Logic Induction Michael Genesereth Computer Science



Express The Function F X X2 8 5 In The Form Chegg Com



These Questions Will Ask You To Give Natural Chegg Com



Interpolants Craig 1957 G Y Z F X Y Ppt Video Online Download



Answered Find A Such That F X G X F Ae Bartleby



Lot Art Roman Judean Tiberius Ancient Ae Pruta Coin Year 11 24 25 Ad G Gf Hen 1340



Video 8 1 Autoencoder 47mn Youtube



Pdf Uncertainty Principle For Clifford Geometric Algebras Cl N 0 N 3 Mod 4 Based On Clifford Fourier Transform Semantic Scholar



Suppose That F And 9 Are Continuous Functions When A Chegg Com



Aquino Y Duxo Como Gf Aquino Y Duxo Como Gf Me Inspire En Algunos Fan Arts Para Los Disenos Para El Aquisi Ae No Tengo Muchas Ideas Pidoperdonwa Retheys



Color Online A Recording Of The Ef 1 Ae Th G A X 1 Ae Th G D0 1th Download Scientific Diagram



Solved Let F X F X And G X F Ae You Also Know Chegg Com



2



Intro To Logarithms Rev1



Answered The Partial Fraction Decomposition Has Bartleby



J R U S Ae L N Jerusal ʖ Nitter



Ppt Abstract Interpretation With Alien Expressions And Heap Structures Powerpoint Presentation Id



Magkill X G F Smith



Soluciones A Los Ejercicios De La Unidad Pdf Free Download



If Int E F D Mu Int E G D Mu Then F G A E Mathematics Stack Exchange



2



Tinkutara Equation Editor Math Forum Question



Adam Equipment Gf 660a Platform 660 Lbs Capacity 15 7 X 19 7 Tequipment



Ifintxlog 1 1 X Dx F X Log X 1 G X X 2 A X C Then A F X 1 2x 2 B G X Logx C A 1 D None Of These



Ae Loading Gf By Guoqingtice On Dribbble



Figure 13 A Comprehensive Review Of Artificial Intelligence Based Approaches For Rolling Element Bearing Phm Shallow And Deep Learning Springerlink



Solved If F X F G X Where F 2 8 F 2



Sensors Free Full Text Polypyrrole Wrapped Carbon Nanotube Composite Films Coated On Diazonium Modified Flexible Ito Sheets For The Electroanalysis Of Heavy Metal Ions Html



Solved If F X And G X Ae Differentiable Functions Such That F 1 12 F 1 13 F 19 14 G 1 19 G 1 16 G 2 17 G 5 18 Find D Dx F G X Course Hero



34 Ideas De Friday Night Funkin Fnf En 21 Bocetos De Personajes Arte De Personajes Fanart



Calculo De La Probabilidad De Ruina De Una Empresa Aseguradora T E S I S Surya Nayeli Ramirez Hernandez Pdf Descargar Libre



Algebra 2 6 6 Guided Practice Function Operations Matthew Richardson Library Formative



Curso De Quimica I Para Q Y Tq Semestre Abril Julio Ppt Descargar



Answered 2 F X 2 1 G X 1 9 Ae 3 2 E The Bartleby



The Functions F And G Ae Given By Fx 3 2 X Gauthmath



Answered Question Let H X F X G Ae If F Ae Bartleby



Expectation 1 Expectation Definition 1 1 The Expectation Or



2



Supuesto 8 Amortiz Aceleradas Para Erd Studocu



Decision Procedures An Algorithmic Point Of View Deciding



Elutio N Pro F Ile O F De A E C El Lu Lo Se Fra Cti O Ns O N Se P Ha D Download Scientific Diagram



Answered Given That 2x3 F Ae G X G 2 3 Gʻ 2 Bartleby



2



Adidas Men S Fl 360 X Gf Sub T Shirt Black Large Ds9278 Buy Online At Best Price In Uae Amazon Ae



Notes On Topics Of Algebra Notes



A E Of Operators And Function At X 1 N S N P Q F F S N P Q G G Download Scientific Diagram



The Mealy Machine With Ae ˆ F Y G Y ˆ Fiy Py Qg Or The Deterministic Download Scientific Diagram



Amazonbasics Mesh Low Back Computer Task Office Desk Chair With Swivel Casters Gf 501m 1 Green H38 19 X W17 72 X D18 7 Inches Buy Online At Best Price In Uae Amazon Ae



2



Amortizaciones Aceleradas Apuntes De Administracion De Empresas Docsity



Matematik Geometri Yks Photos Facebook



System Camaras Camaras Digitales Fujifilm Serie X Gfx Espana



Logic Synthesis Algebraic Division Courtesy Rk Brayton Ucb



Msi Katana Gf76 Review En Espanol Analisis Completo



Elements Of Geometry And Trigonometry Proposition Xv Theorem If Two Straight Lines He Cut By Three Parallel Planes Theij Will Bedivided Proportionally Suppose The Line Ab To Meetthe Parallel Planes Mn



Lt F Fe Lt I Lt 1 Lt Ome Lt 1 Lt Lt



Asus Rog Flow X13 Con Rog Xg Mobile Rtx 3080 Review Analisis Completo En Espanol


0 件のコメント:
コメントを投稿